十大不吉利花是哪几种(10种“小毒花”,远离卧室和书房,避免受伤害)
十大不吉利花是哪几种(10种“小毒花”,远离卧室和书房,避免受伤害) 美丽的花儿往往都带有刺,姣好的外表下面却暗藏着不可预知的危险。所以咱们在家里养些漂亮的花,一定要提...
圆周率公式算法(计算圆周率的传奇:有人用一辈子,有人只用一个小时)
说起π,大家都会会心一笑,这个字母太有意思了,简直就是数的精灵,我们小时候还都学过茅以升背圆周率的故事,一首“山巅一寺一壶酒,”的儿歌也告诉我们如何背诵π,为了衬托高斯的神奇,人们居然说他可以倒背圆周率。
最早给出圆周率的近似值的应该是古埃及人。建于公元前2500年左右的胡夫金字塔的周长和高的比值就是2倍圆周率,当然这可能只是个巧合,因为我们知道圆的周长和直径的比值就是2倍圆周率,而金字塔底面是正方形,这就意味着古埃及人已经解决了化圆为方的几何难题。
这虽然可能是个巧合,但埃及人还是在圆周率的计算上拔得了头筹,古埃及的文物莱因德数学纸草书上就记载了圆周率等于分数16/9的平方,大约是3.1605,同时期的一块巴比伦石匾也有圆周率等于25/8的记载,晚了一千年的古印度《百道梵书》上则说圆周率等于339/108,大约是3.139。
可以看出来,随着时间的推移,圆周率的值越来越准确,可是这一规律被中国人打破了,在公元前2世纪成书的《周髀算经》中说“径一而周三”,这就是说圆周率等于三,看起来在数学上我们确实在四大文明古国中是垫底的。
不过这些圆周率的值应该都是测量无数个圆的周长和直径后才知道的,想一想那时候简陋的测量手段吧,能有这么精确确实很不容易,不过老是这么量下去也不是一回事,总得照顾更好的办法。
阿基米德就接过了这个任务。

阿基米德用的方法是内切和外接圆的正多边形,很容易看出来,内切正多边形的周长肯定是小于圆周长,内切正多边形周长和圆的直径的比值就是圆周率的下限,同理,外接正多边形和圆的直径的比值就是圆周率的上限。
阿基米德先用正六边形,他得出来的圆周率下限是3上限是4,这肯定不是阿基米德要的结果,那也没关系,直接增加正多边形的边数就可以了,增加到正96边形时,得到了上限是223/71下限是22/7,取平均值就是3.141851。
阿基米德的圆周率不仅仅是更加精确,关键是他不是量出来的,他是算出来的,对于阿基米德来说算一下正多边形的周长那根本就不是事儿,这就开启了计算数学的先河。
阿基米德用的是周长来计算的,刘徽则要用面积来计算圆周率,这就是割圆术。

“割之弥细,所失弥少,割之又割,以至于不可割,则与圆周合体而无所失矣。”这是刘徽对割圆术的描述,看重点呀,“以至于不可割”,这是什么?这就是极限呀,极限再发展下去是什么?就是微积分啊,就是说刘徽有了最早的微积分思想。
刘徽割圆术的方法和阿基米德差不多,不过只有一半,刘徽只用内接正多边形,而且刘徽用的是正多边形的面积,刘徽用到了3072边形,把圆周率算到了3.1416。
祖冲之用刘徽的方法又把圆周率推进了一位,计算出圆周率在3.1415和3.1416之间,这个记录保持了八百年,为了纪念祖冲之的伟大贡献,在我们国家圆周率又叫做祖率。

祖冲之的记录直到15世纪初才由阿拉伯数学家卡西打破,他把圆周率算到了小数点后17位,不过他的记录很快就被打破了,德国数学家鲁道夫在1596年算到了小数点后20位,但鲁道夫并没有满足,投入了毕生精力去计算圆周率,在1610年算到了小数点后35位,他用了多少边的正多边形呢,是67108864正多边形,这个数有点太大了,也怪不得他用一辈子去计算,为了纪念他这种无畏的精神,因此在德国圆周率也被称为鲁道夫率。
算到这个程度,基本上已经把阿基米德的周长算法和刘徽的割圆术用到极致了,要想算出更精确的数值必须得找点新方法了。
这个新方法是韦达首先提出来的,韦达就是提出二次方程根的韦达定理那个韦达,不要韦达只有韦达定理,他对数学最重要的贡献是代数符号,我们现在方程的写法包括未知数为xy都来自于韦达,他还提出来了俄罗斯套娃一般的圆周率计算公式。

看看,像不像俄罗斯套娃。

还是看一下证明过程吧。
证明过程主要是应用了三角函数的倍角公式,就是这个sin2x=2sinxcosx,换下写法就是
当然了还可以继续用倍角公式分成x/4,x/4也可以分成x/8,就变成了这样:
要是到第n项呢,就成了这样了
然后再方程两边都除以x,就变成这样了
下面对n取极限,就是=1,那么式子就成了
现在已经很清楚了吧,还没有清楚呀,那就令x=π/2
左边就变成了2/π,因为sinπ/2=1呀。
然后再用余弦公式把
继续写下去一直到n,就得到了韦达的公式。
不过有一点需要注意,在推导过程中我们用到了极限,而极限是牛顿和莱布尼茨创造的,韦达去世的时候,他们俩都还有出生,韦达绝对不会穿越到未来学会这种方法的,那么韦达用什么方法推导出来的呢?那谁知道呀,说不定他真有一种巧妙的方法。
有了这种俄罗斯套娃般的方法,理论上就可以无限次的计算下去,只要生命足够长,就可以推导到无数位,不过生命没有那么长,这种套娃的方法虽好,还是容易出问题,首先这是乘法,每一项都相关,要是一项错了大家都跟着错,另外涉及到了根号二,这是个无理数,要是取近似值的话,这从一开始就有点不准,而且就算算得准,也要到17重平方根才能达到九位精度,看来还得想办法。
和乘法相比,加法就好多了,觉得精度够了,后面的加法就可以舍去不算了,反正也不影响前面的,可什么样的加法才能满足计算π这种无理数呢?当然是级数。
级数其实也是早就有了,比如庄子所说的“一尺之棰,日取其半,万世不竭”就可以表示为一个无穷级数,不过对级数的系统研究,还是得等牛顿爵爷出世。
1869年,爵爷写出了《无限多项方程的分析学》,这就是最早的级数论文,随后他的老冤家莱布尼茨也独立得出了相同的结论,莱布尼茨这一辈子都是在爵爷屁股后面傻追,只要爵爷得出什么结论,他肯定立刻得出,这就是永远落后一步,不过对于用级数对圆周率的求解莱布尼茨却是抢先了一步。
这就是莱布尼茨的圆周率求解公式,看起来是不是清爽多了,关键是计算简单呀,就是小学没毕业也会算呀,可是这个公式有一个致命的缺点,就是级数收敛太慢了,要计算到300项才精确到了一位小数,这要是算到九位十位精度,估计也得半辈子。

不过莱布尼茨很高兴,他终于超过牛顿一次了,可莱布尼茨的命还是这么苦,虽然牛顿没有说话,但这个级数并不是他第一个发现的,而是英国数学家格雷戈里先发现的,可怜的莱布尼茨又栽到了英国人手里,后来牛顿爵爷在搜集莱布尼茨“剽窃”微积分成果罪证的时候,又把这笔账翻了出来,说莱布尼茨“剽窃”别人成果已经是惯犯了,连个简单的级数都“剽窃”,何况复杂的微积分呢,这当然都是爵爷的一面之词,其实莱布尼茨是独立发现的,这个级数也被叫做格雷戈里—莱布尼茨级数,莱布尼茨又排在了后面。
见莱布尼茨都知道怎么求圆周率了,爵爷当然不开心,立刻就整出来了一个。
别看看起来模样不怎么样,不如莱布尼茨的长相秀气,算起来也复杂了许多,关键是好用呀,收敛速度贼快,仅三项就能达到3.14,九项精度就能到八位,这就叫碾压呀。
欧拉为自己的师爷感到不平,(莱布尼茨的学生是约翰.伯努利,约翰.伯努利是欧拉的老师,欧拉绝对是莱布尼茨的嫡传徒孙),可是对手是牛顿呀,对于牛顿这种神一般的男人,像老师和师爷一样打嘴炮是没用的,最好的办法就是做的比他还好。

于是欧拉就写出了自己的圆周率级数。
π=20arctan(1/7)+8arctan(3/97)
这有点过了吧,没写错吧,怎么可能这么简洁呢?当然没错,别忘了,欧拉可是可以和牛顿齐名的数学大师,不过级数在哪呢?
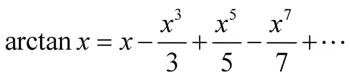
还记得在前面说过让莱布尼茨很没面子的格雷戈里吗?他提出过反正切级数,就是这样的。

要是令x=1呢,这就是莱布尼茨的级数呀。
莱布尼茨的所谓独立结果只不过是人家的一个特例,所以说也怪不得牛顿爵爷天天黑他。
同样,只要用格雷戈里级数展开欧拉级数中的反正切函数就可以了,关键是这个级数收敛速度非常快,仅仅只要计算前六项精度就可以12位。

欧拉果然名不虚传,居然比爵爷还快,可是欧拉赢了吗?当然没有呀,因为他和师爷一样也是站在了人家格雷戈里的肩膀上。
现在知道牛顿爵爷有多厉害了吧,莱布尼茨祖孙三代都赢不了一个牛顿。
按理说到了这个程度就可以了吧,不能呀,因为印度人拉马努金还没有出场呢。

要是说牛顿爵爷是神的话,那么拉马努金就是仙儿,他一辈子都是靠感觉写公式,个个都匪夷所思巧夺天工,来看看他怎么说的吧。

看这模样,是不是和爵爷的公式差不多呀,这才叫英雄所见略同,而且收敛速度快到了不可思议的地步,一项就可以达到七位有效精度。
要是两项呢,就十六位了。
这已经不是人能想出来的了,这就是鬼神莫测,就连牛顿也要甘拜下风了。
圆周率的求解到拉马努金已经是极限了,剩下的就可以交给计算机了。
2021年8月17日,瑞士科学家使用超级计算机将圆周率π计算到小数点后62.8万亿位,这是目前的最精确记录。

十大不吉利花是哪几种(10种“小毒花”,远离卧室和书房,避免受伤害) 美丽的花儿往往都带有刺,姣好的外表下面却暗藏着不可预知的危险。所以咱们在家里养些漂亮的花,一定要提...
数据库软件有哪些呢(15款数据库软件大盘点) 数据库(Database)是按照数据结构来组织、 存储和管理数据的仓库。随着信息技术和市场的发展,数据管理不再仅仅是存储和管理数据,而...
古典乐器有哪些种类(中国八类古典乐器) 中国古典乐器一般按“八音”分类。“八音”就是我国按乐器的制造材料来对乐器进行分类的方法,这“八音”中的乐器,在后世被称为“华...
中国香烟排行榜(国产香烟品牌大汇总) 中国十大名烟: 1 中华(中国名牌,中国驰名商标)上海烟草(集团)公司 2 熊猫(国家名烟)上海烟草(集团)公司 3 玉溪(中国名牌,中国驰名商标)玉溪红...
红歌有哪些歌曲(我们不能忘记 | 这些经典红色歌曲,饱含深情颂党恩) 100年筚路蓝缕,100年风雨征程。100年来,中国共产党带领中国人民,克服千难万险,不断开创新的辉煌。走得再...
怎么画眼线 初学者?保姆级眼线画法来了,简单易学适合新手 Hi~美少女们好呀~ 作为新手党,是不是每次 画眼线都很苦恼 呢?别人的眼线顺畅自然,能让眼睛更大更妩媚;你的眼线却...
野生兔子肉的做法大全分享,瞬间引爆你的味蕾 兔兔那么可爱,我们应该怎么吃兔兔呢? 今天小编就带大家来看一下,兔肉的不同吃法,让你爱上吃兔肉。 【冷吃兔】 用料 兔肉半只...
纳米技术有哪些用途(纳米技术的10大非常规用途) 难以想象一个没有纳米技术的未来。在原子和分子水平上操纵物质,为化学、生物以及医学领域的重大突破铺平了道路。然而,纳米...
家庭烤面包最简单做法 我家从来不买面包,6种自制小面包,比外面买的还好吃, 蓬松暄软 今天和大家分享6款自制小面包,每一道都蓬松暄软,奶香清甜,而且做法简单,零难度零技...
普通日常日记200字六年级 14篇小学生寒假日记200字范文 寒假到啦,同学们是不是已经撒开花的开始玩耍了。但是也不要忘了还有寒假作业哦。 在寒假作业中,日记是必不可少的一环。...
南海旅游景点大全(广东佛山南海区值得游玩的旅游景点有哪些?自驾游有什么攻 略?) #佛山#南海区,广东省佛山市辖区,地处广东省中南部、珠江三角洲腹地、佛山市东北部。东连...
东北方言常用语300句 世界的东北话常用语言大全 最近写了几篇东北话的文章,效果还是可以的。但是很多朋友说我总的并不是很到位,今天我又重新整理了一下,把他做成篇章系列的...
传染病有哪些病种(近百年来最致命的十大传染病病种) 1 天花 近百年来患者死亡数:3亿~5亿 天花是由天花病毒感染人引起的一种烈性传染病,痊愈后可获终生免疫。天花是最古老也...
如何保护水资源方法(水资源保护与科学用水) 金林易 摄 联合国教科文组织在1997年把水资源定义为“可资利用或可能被利用的水源,即应当能够为满足生产生活用途而得以利用”,而...
相对论公式讲解(狭义相对论:速度越快,时间越慢!具体是怎么推导出来的?) 学习狭义相对论之前,已经要先了解洛伦兹变换。这篇文章已经详细阐述洛伦兹变换的过程推导,其中...
航空公司排名(国内六大上市航空公司最新排名) 据不完全统计,截至目前,国内共有航空公司52家,南航、国航、东航、春秋、吉祥、海航是其中在A股上市最大的六家航司。转眼间到...
家里的小蚂蚁怎样能彻底清除 家里除蚂蚁小知识 家里除蚂蚁小知识:家里有蚂蚁,怎么办好? 我们居家时,大多曾碰到过家里有蚂蚁的问题,特别是养花的朋友,新装盆土更是滋生蚂...
傣族资料简介(《傣族》发展史) 基本信息 傣族(罗马字母: Dai ),又称泰族(泰文: ไทย ,罗马字母: Thai )、掸族(罗马字母: Shan )等,民族语言为傣语(泰语),属汉藏语系壮侗语族壮傣...
经典老歌怀旧歌曲(80后经典电视剧和影视金曲推荐,满满的回忆,大家都看过吗 ?) 看电视,是大家非常喜爱的休闲方式,许多经典的电视剧如果没有一把钥匙来打开尘封的记忆大门...
新能源包括哪些行业(盘点那些围绕在我们身边的新能源行业!) 来源: 中国国家地理 原标题《中国的新能源产业是如何分布的?》 在未来国家能源的战略布局中,新能源将占据越来越...
皮肤病的种类 常见的皮肤病治疗方法有哪些?怎么预防皮肤病 皮肤是最大的,在许多方面,是我们身体中最美妙的器官之一。试想一下:死皮颗粒占了我们家中发现的三分之二的灰尘...
重阳节干什么(又是一年重阳到!25个重阳节互动游戏集锦,一起玩起来) 每年的农历九月九日便是重阳节。在重阳节来临之际,为了丰富老年人的文化生活,爱普雷德小编为大家整理...
黄瓜吃法凉拌做法大全,夏天的看家菜 可以生吃的蔬菜里,黄瓜、西红柿应该是最讨大家喜欢的。 黄瓜生津止渴,可以说是餐桌上的看家菜,尤其是夏天。毕竟天一热,大家都喜欢做...
甜品饮品加盟店有哪些品牌(2022年度中国甜品连锁加盟品牌TOP20) 导语 :随着中国购物中心的高速成长和普及,中国大量的连锁经营品牌也凭借东风之力高速成长和扩张。《联商网》...