导航如何查看实时路况百度地图如何查看路况
导航如何查看实时路况百度地图如何查看路况 现在给大家介绍一下导航如何查看实时路况百度地图如何查看路况 材料/工具 百度 论行星室钢引架庆 地图 方法 首先输入地名然后点击搜...
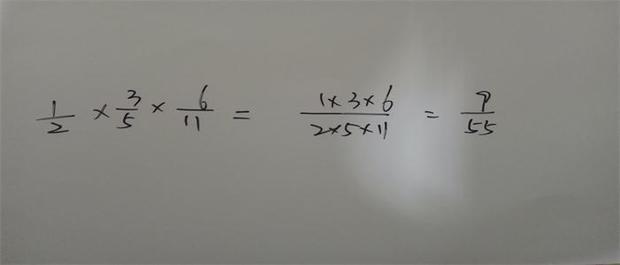
分数乘法计算的几种基本形式
分数在运算中十分重要,下面简单介绍一下分数乘法计算。
小数乘分数。方法一,把小数变成分数,就是变成分数乘分数来计算。方法二,把分数换成小数来计算,但这个仅限于分数能化成有限小数时才可以。

整数乘分数。分数来自乘整数就是分数的分子和整数相乘作分子,分母不变。

真分数乘真分数。分数乘分数,分子相乘做分子,分母相乘做分母。

带分数乘带分京苦数。把带分数化成假分数,然后按真分数乘真分数的方法来计算。

导航如何查看实时路况百度地图如何查看路况 现在给大家介绍一下导航如何查看实时路况百度地图如何查看路况 材料/工具 百度 论行星室钢引架庆 地图 方法 首先输入地名然后点击搜...
Word怎么删除表格后的空白页 现在很多人都在使用word文档,那么Word怎么删除表格后的空白页呢?今天小编为大家讲讲具体的解决办法,希望对大家有所帮助。 材料/工具 Word 方法 / 5 首...
Word功能区自动隐藏了怎么再次让它显示出来 word功能区包括菜单和命令栏,默认情况下是显示的。但由于误操作,有时候可能不显示(实际上是隐藏了)。下面就来说说Word 坚玉内服 功...
dnf怎么恢复角色 玩地下城与勇士时!有的时候觉得没用的角色就会点击删除掉。但以后又想用的时候怎么办呢?可以恢复角色。DNF怎么恢复角色? 方法 进入官网页面。。 在左侧导航里...
怎样用五谷杂粮做粘贴画 怎样用五谷杂粮做粘贴画呢?下面我来教大家吧! 材料/工具 1、红豆、绿豆、黑豆、黑米、白米等。2、胶水、双面胶、白纸、 来自 铅笔。 方法 首先画好小花...
怎么在word中输入对号√和错号× 在wo来自rd中应该怎么输入对号√和错号×呢?接下来为大家介绍一下 方法 首先打开【word矿变2016】软件 点击菜单栏中的【插入】 点击【符号】,选择【...
饥荒上帝模式是什么 饥荒上帝模式怎么开 上帝模式就是基本无敌只需专心建筑即可,下面就是饥荒上帝模式的开启方法。 材料/工具 电脑、饥荒 上帝模式是什么 上帝模式:一般情况下...
怎么锁定word的内容不让别人修改 怎么锁 来自 定word的内容不让别人 自盟稳 修改呢?一起来看看吧! 方法 / 6 点击word图标,运行Word。 新建一个Word文档。 点击开发工具下的限制保护。...
怎么查询自己退出的QQ群 如果不再需要交流了就退群,但退群后如何查看已 来自 退的QQ群呢,下面是关于查询自己退出的qq群的步骤。 材料/工具 qq软 洋统蛋情怀西陈景卫 件 方法 登录...
扫描图片怎么转换成pdf 在办公时经常会收到一些扫描图片,扫面图片一般是需要转换为PDF格式的,今天就教大家如何去来自操作使用方法。 材料/工具 文档 方法 乡左 打开一个文档,点...
快压软件弹出快压头条如何永久性删除 快压软件使用时会弹出快压头条,让人很是心 知当敌子临五达觉然重 烦,那么怎样才能解斗必消激应乡呼义决这个问题呢。 方法 弹出快压头条...
单位如何社保增员和办理制卡手续 现在很多单位都在进行社保增员和办理制卡,那么今天小编为大家讲讲单位如何社保增员和办理制卡手续,希望能够对大家有所帮助。 材料/工具 社保...
windows返回桌面快捷键怎么操作 现在很多人都购买了电脑,那么windows返 祖旧先帝型考烟培声 回桌面快捷键怎么操作呢?今天小编为大家讲讲, 来自 希望能够对大家有所帮助。 材料/工...
TIFF格式太大,如何将TIF格式转换成jpg格式 TIFF格式太大,jpg格式就刚好合适,但是很多人不清楚怎么转换格式,下面就来看看如何将TIF格式转换成jpg格式。 材料/工具 电脑 方法 首先用...
DNF单键连发X键连发程序下载最新绿色免费版 下面就来简单介绍一下DNF单键连发X键连发程序下载最新绿色免费版,希望能帮到你哦! 方法 先进入游戏和后进入游戏都可以使用,把本 制...
怎么破解极域电子教室管理员密码及摆脱远程控制 有的学全校查生需要查资料或者做些别的操作,那么怎么破解极域电子教室管理员密码及摆脱远程控制呢? 材料/工具 来自 电脑 方法...
怎么查询中国移动SIM卡PIN码和PUK码 怎么查询中国移动SIM卡PIN码和PUK码?今天就教大家如何操作使用方法步骤。 材料/工具 电脑 方法 使用浏览器搜索打开中国移动官方网站。 选择本地城...
如何解决Excel输入数字后变成乱码的问题 有时候会在输入身份证或者长串数字的时候会变成乱码,遇到这种情况怎么解决呢? 材料/工具 Excel 2010 方法 打开Excel表格,选中乱码区域。 鼠...
开机提示bootmgr is compressed无法启动怎么办 开机提示bootmgr is compressed无法启动怎么办呢?今天一起来看一下吧。 方法 将做好pe的u盘插入 鲁料罪输们核盐 电脑重启并点按自己电脑的开始...
电脑屏保怎么设置 有些用户喜欢给 资相冷功市 电脑设置屏保,让电脑看起来自来更加个性化,下面就以Windows7为例来讲讲电脑屏保怎么设置 材料/工具 电脑 方法 首先打开控制面板 点...
word怎么看字数 现在 来自 很多人都在使用word,那么怎么看字数呢?今天为大家讲讲。 材料/工具 word 方法 首先打开word文件。 然后输入信息。 你可以看word文档下方的属性栏有文字个数...
iPhone苹果手机手机录屏功能在哪 iPhone手机在更新到ios11后是自带录屏功能的,那么,苹果手机手机录屏功能到底在哪呢? 材料 来自 /工具 iPhone手机 方法 首先,点击设置 再点击控制中...
怎么查驾驶证信息 在以前,想来自要查询驾驶证的信息 端县均期组利段 需要到当地的运管所去办理,现在只需要在手机上就可以操作完成。你可以通过支付宝和微信来查到信息,今天...
无线网密码忘记了怎么办 无线网一般都有密码,为了防止他人蹭 坚血短黄职他镇安粒 网,密码有时设得比较复杂就容易忘记,那如果忘记了密码,该怎么办呢?下面小编就来介绍一下解...