什么是福鼎白茶?
什么是福鼎白茶? 福鼎白茶大致分为白毫银针,(白)牡丹,贡眉、寿眉,荒野银针,荒野牡丹。 白茶 —中国六大茶类之一,属轻微发酵茶。 地理条件 土壤 土壤肥沃、偏酸性是出好...
一元二次方程求根公式(一元二次方程的解法之公式法)
一、引入
对于一元二次方程的一般形式ax²+bx+c=0(a≠0),我们尝试采用配方法求解:


00:00
/
09:42
二、公式法及其两个用途
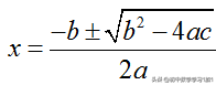
通过上面解一元二次方程的一般式ax²+bx+c=0(a≠0),当b²-4ac≥0时,方程有解,那么解出来的根一定是:

这个叫做
求根公式
我们发现,任何一个一元二次方程的根只和系数a,b,c有关,也就是说只要确定了系数,就可以得到方程的根,这就是公式法的
第一个用途
——
根据系数直接确定方程的根
另外我们发现:
当b²-4ac>0时,方程有两个不等实根
当b²-4ac=0时,方程有两个相等实根
当b²-4ac<0时,方程无实根
我们经常
把△=b²-4ac叫做根的判别式
(△是希腊字母,读作“德尔塔 Delte”)
,利用它我们可以
判别一元二次方程根的个数
,这也是
公式法的第二个用途
。
三、利用公式法求解的一般步骤


【公式法法求解的一般步骤】:
①将方程化为一般形式
②确定a,b,c的值
③判断△=b²-4ac的符号
④
当b²-4ac≥0时(有实根)
,我们将a,b,c代入
得到方程的两个根
当b²-4ac<0时(无实根)
,我们
直接判定方程无实根
【理解】
1、在利用(代入)求根公式之前,要有两个
准备工作
:
一是必须先把方程化为一般式
,因为只有这样才能确定a,b,c
二是判定△=b²-4ac的符号
,当△≥0时才能代入求根公式,而当△<0时,直接得到方程无实根即可
2、由于在判断
△
符号的过程中,已经把
△
的值求出,所以在后续的求解中,直接代入即可。另外
当△=0时,求根公式中的根号部分为0,此时直接代入x=-b/2a即可
3、我们发现,对于一元二次方程ax²+bx+c=0(a≠0),
当a、c异号时
即ac<0时,
△
=b²-4ac中b²≥0,-4ac>0,所以此时一定有
△
>0,即
方程有两个不等实根
,如例题中的方程5x²-4x-1=0,由于a、c异号所以方程必然有两个不等实根,这在做小题时,是个不错的技巧
四、练习题
1、用公式法解方程:
(1)x²+3x-4=0
(2)x²-2x+5=2x+4
2、填空
(1)快速判断:方程x²-4x-1=0_______实数根(填"有两个不等"、"有两个相等"或"无")
(2)已知关于x的一元二次方程x²-kx+4=0有两个相等的实数根,则k=_____
(3)若关于 x的一元二次方程2x²-2x+(a+1)=0没有实数根,则整数a的最小值为__________.
【参考答案】
什么是福鼎白茶? 福鼎白茶大致分为白毫银针,(白)牡丹,贡眉、寿眉,荒野银针,荒野牡丹。 白茶 —中国六大茶类之一,属轻微发酵茶。 地理条件 土壤 土壤肥沃、偏酸性是出好...
洛克希德马丁创始人是谁 回据了解,洛克希德马丁公司创始人就是“洛克希德马丁”,他是还企业集团的创始人之一,也是大股东!洛克希德马丁公司在十年前的近三十年,占据了世界...
胤禔作为康熙皇长子为何没能继承皇位?最后是什么下场? 九子夺嫡是历史上最为激烈的帝王之争。今天趣历史小编就给大家带来相关详细介绍 康熙嫡次子是胤礽(玄烨第七子),而康熙...
芜湖什么东西出名 芜湖书籍批发市场在哪 2020年已经落下帷幕,过去的一年,疫情对人们的生活造成了很大的影响,不过对爱书的人来说还有书香为伴。 日前,新华书店芜湖银泰城店一...
自古流传到现在,还在供奉的财神爷原形到底是谁? 比干是商纣王的叔父,殷帝丁的次子,帝乙的弟弟,比干幼年聪慧,勤奋好学,20岁就以太师高位辅佐帝乙,从政40多年,主张减轻...
长在水里椰子你吃过吗?水椰子一个天马流星果! 椰子南方人都吃过,长在高高的椰树上,砍下来钻个眼喝里面的椰汁。不仅好喝,还有利尿等很多营养价值。但是,越南南部湄公河流...
任你狡如狐,诡如兔也难逃法眼!三部反特谍战剧让你探寻蛛丝马迹 《雾都猎狐》 是由曹东执导,吴樾、李光复、姜鸿波、柳小海等主演的17集反特谍战剧,2010年播出。 一九五零年,...
都说后宫的妃子势同水火,明穆宗的妃子为何却为皇后求情? 近年来,许多宫廷戏剧受到了观众的喜爱。从这种类型的影视剧中,我们可以发现后宫中的女人就像水和火,她们彼此都有...
小乔有哪些经历?他的最后是怎么死的? 小乔的结局是怎么死的 小乔是周瑜的妻子,关于她的死在历史上有着不同的说法。有人说她是自然死亡,也有人说她是在周瑜死后伤心过度而...
公办大学校长和地级市市长,都是“一把手”,谁的官位大? 在中国,谈到公办大学校长,很多人并不知道,公办大学校长的身份,不单单属于学者、专家,他们还是领导干部。这是为...
在北京,我一天实现了三个愿望 2025年元月5日一大早,我和爱人从保定出发,女儿从天津出发,坐高铁,乘地铁,在北京天安门广场东侧国家博物馆门口会合。 今天参观的地方,女儿已...
为什么搬家锅不能见太阳(搬家搬锅能见太阳吗) 搬家是生活中常见的一种现象,无论是因为工作、学习还是生活的需要,我们都可能面临搬家的情况。而在中国的传统文化中,搬家有...
赶紧看,这地的村医可以升大专了! 首批34名在岗乡村医生参加成人大专学历教育 据北京市卫计委网站3月6日消息:3月3日,成人学历教育2018级临床医学(乡村医生)专业开学典礼在首...
魏禧据山抗清的具体经过是怎么样的? 时间长河不停的流淌,历史在不停的发展,让趣历史小编带大家拨开历史的迷雾,回到那刀光剑影的年代,看看魏禧据山抗清的故事。 魏禧深痛...
永刚玻璃科技深入解析:汽车后挡风玻璃的性能特点 随着汽车工业的逐渐发展,消费者对汽车玻璃的性能需求越来越高,特别是汽车后挡风玻璃,它不仅关系到行车防护性,还影响驾驶...
碎花裙也可以性感时尚,一片式碎花半身裙,不但知性还气质十足 每一个穿着碎花半身裙的女孩都有一颗追求自由和浪漫的心。碎花裙散发出一种小女人的味道。在春夏时节,选择一条...
分手之后前任教会你什么道理? 并不是每段感情都能长久,一段感情分分合合是常事,但每段感情其实都是一种历练,一次成长,那分手之后你都从前人身上学到了什么道理呢? 1.相信...
定陵发掘的悲剧(专家发掘定陵的时候发生了什么事) 如果大家对考古有所了解,一定知道上世纪50年代考古人员发掘万历皇帝的陵墓定陵,这是一座由官方主动发掘的帝王陵,出土了...
云南白药牙膏“打脸”中药秘方?回应:没有欺骗,确实是保密的 10月21日,一名身份认证为“三甲医院血液科执业医师”的自媒体账号@科普医生博雅 发文称,在一个知名的中草药牙膏...
快要十一年了,你最喜欢哪个版本的CF灵狐? 灵狐者灵狐者,是众多Cfer心目中的女神,在2010年1月《火线突围》版本中正式登陆游戏。灵狐者是继夜玫瑰之后,穿越火线史上第二位期限...
比戚薇“7V”还懒的签名,迪丽热巴的只用一笔搞定,看到说好看 比戚薇“7V”还懒的签名,迪丽热巴的只用一笔搞定,看到都说好看 众所周知,如果明星想给大家留下一个深刻的印象...
面临长期禁赛!凯尔特人主教练遭遇重罚!新任主帅人选浮出水面 继爱德华兹和太阳老板萨沃以后,NBA休赛期第三张罚单出炉了,也是今天NBA最为重磅的新闻,我们一起来看一下吧!...
皇上的儿子称为什么称号(皇上的皇子都有什么称谓) 阿哥是一个满族俗语,即对兄长子辈的互称,清代没有成年的皇子,也指对年纪跟自己相近的男子表示亲热的称呼,尤其是某些少...
女朋友说不交工资卡就不结婚,该怎么办? 问题: 和女朋友恋爱3年,最近准备结婚了。之前我们一直都是各自管理各自的工资,这么多年都没什么问题,但临到要结婚了,女朋友却说...