七位瓦岗战友先后被杀,秦琼无一次相救,来不及救还是不想救?
七位瓦岗战友先后被杀,秦琼无一次相救,来不及救还是不想救? 在中华文明历史上,有许多英雄豪杰的故事被后人传颂,其中不乏一些瓦岗军的故事。瓦岗军是隋末李密手下的一支反...
这些书画作品太精彩!快围观吧……
5月20日下午,县文联、县书法家协会在东关翰林书画院开展“赶考路上有我·描绘出彩中原”主题书法绘画作品展示活动。

本次书法绘画作品展以书言志、以画寄情,着力突出“赶考路上有我”时代主题,通过图文并茂的形式充分展现新时代发生的新变化,绘就出一个生机勃勃、发展进步、和谐美丽、生活幸福、生态宜居的新时代。

此次展出的作品内容丰富、形式多样,或情注时代发展、描绘沧桑巨变,或聚焦人民福祉、定格动人瞬间,一幅幅风格迥异,或秀气、或端庄、或苍劲、或古朴的书画作品,吸引了现场群众的驻足夸赞。
翰林书画院的老师也带领学生欣赏了这些不同时期、不同风格的书法绘画作品。学生们纷纷表示,通过观赏书画作品,更加提升了审美和鉴赏能力,同时也以书启智、以画陶情,激发了书写绘画兴趣。
温县融媒体中心记者 黄福兴 张娇 实习生 刘旭盈 报道
作品展

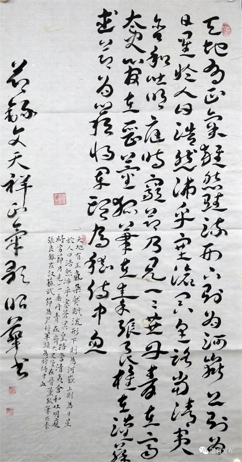
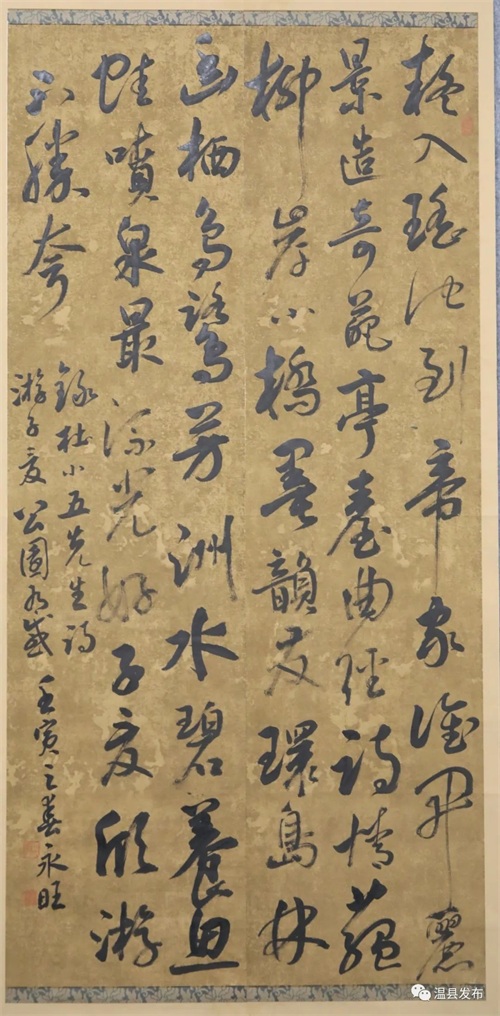
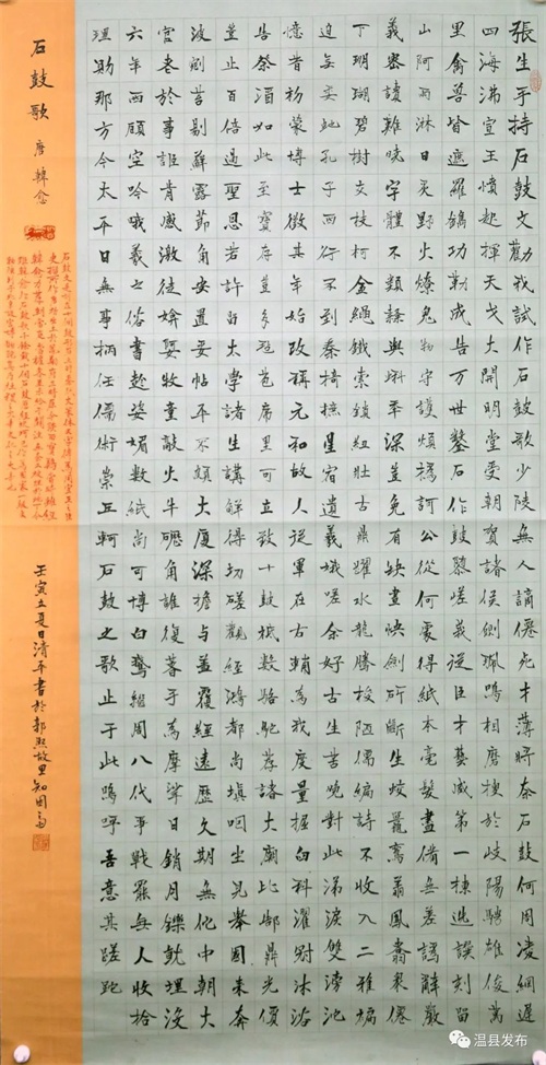
晁召永作品

陈弼华作品

陈昭华作品

董顺星作品

段宝瑜作品

李爱民作品

李敏作品

李诗雨作品

李永胜作品

李永旺作品

李永旺作品

刘建国作品

乔和平作品

任继华作品

王安文作品

王二安作品

王飞作品

王红作品

王红占作品

王清华作品

王帅作品

王天喜作品

原太顺作品

张瑞林作品

张喜文作品

张喜文作品

赵琪琪作品

赵清平作品

赵信作品

赵信一作品
七位瓦岗战友先后被杀,秦琼无一次相救,来不及救还是不想救? 在中华文明历史上,有许多英雄豪杰的故事被后人传颂,其中不乏一些瓦岗军的故事。瓦岗军是隋末李密手下的一支反...
济南那些让你欲罢不能的美食街~ 当你来到济南, 如果你没有去过这些美食街 来尝尝这些美食, 那你就真是白来济南一趟了, 下面有小编给大家介绍一下这些美食街吧 芙蓉街 介绍 :...
陈坤之子陈尊佑:挣脱标签,逐梦前行的星二代之光 在娱乐圈这个镁光灯聚焦的舞台上,星二代的每一步成长都如同璀璨星辰划过天际,吸引着大众的目光。 陈坤之子陈尊佑,便是其...
醉生梦死的权力游戏 揭开广东巨虎曹达华的两面人生 《本文信息来自权威报道: 中时新闻网》(详细信源附在文章末尾)。为提升文章可读性,细节可能存在润色,请理智阅读,仅供...
张嘉译夫妻晒合影!他笑的合不拢嘴,王海燕发量稀疏断崖式衰老 哎呀呀,各位时尚小伙伴们,今天你们的朋友圈有没有被一对明星夫妻的合影刷屏呢?没错,就是张嘉译和他的妻子王...
事业单位辞职真的会后悔吗?网友行尸走肉的神评论,颠覆了三观 热议话题 你的选择没有错,在一份不喜欢的岗位上,给的钱再多又如何。人活一世,如果活的也痛苦,太不值得 能力...
沈眉庄演得那么好,为什么没红?郑晓龙一句话透露原因,太精辟 “沈眉庄演得那么好,为什么没红?”这个问题听起来像个未解之谜。斓曦,那个用精湛演技赋予沈眉庄灵魂的演员,...
纳达尔法网12冠有多可怕?费德勒恐怕被超越,伍兹皇马齐齐致敬 南都讯 记者汪雅云 北京时间10日凌晨,西班牙天王纳达尔在法网男单决赛里不负众望以3比1力克后辈新星蒂姆,再创历...
福字怎么贴才对?一年一次请福回家,千万别贴错了! 在春节期间,家家户户都会贴上福字,寓意着祈求幸福、安康和吉祥。福字的形式有很多种,可以是红纸上的毛笔字,也可以是剪...
曾经叱咤风云的商界精英马云,人设崩塌原因有两个,实在太冤了! 马云人设的崩塌,主要因为两个事件: 第一个是现在许多实体生意不好做,一部分店铺倒闭。 他们认为这是因为马...
2025年甘肃高校排名,看到兰州大学全国排名第37,不免有些心疼! 高等教育是地区发展的智力引擎,在国家创新驱动发展战略中发挥着重要作用。2025年ABC中国大学排名发布,为我们审...
周星驰处女电影《捕风汉子》,被成奎安两分钟虐杀戏尽显表演天赋 星爷给我童年时代留下了太多的欢声笑语。那时每次到租碟片的地方,有“周星驰”三个字的碟片那是一定要租回家...
于成龙:被百姓亲切称为“于青菜”的“千古第一廉吏” 于成龙,清朝初期重臣,早年科举仕途失意,却能官至两江总督追赠太子太保,康熙皇帝亲手为之题匾“天下清官第一”。 影...
宜宾一溶洞内发现大量“透明鱼”,你见过吗? 宜宾珙县居然发现“透明鱼”,您见过吗? 透明鱼 发现 宜宾珙县文旅资源普查外业调查组,在巡场镇德田村海拔约937m的乌鱼洞(灰岩...
李英爱携龙凤胎拍大片,女儿似妈妈翻版,儿子发福后超像富豪爸爸 近日李英爱新拍摄的一组时尚大片曝光,一对龙凤胎儿女近照罕见曝光,娘仨穿着韩系亲子装出镜,画面十分温馨。...
局中人柳如烟是好是坏 柳如烟真实身份揭秘 剧中,柳如烟是沈放的初恋,但两人并没有走到最后。某天柳如烟再次和沈放相遇,也是牵扯出两人的一些回忆。不过此时沈放的身份已经...
湖南为啥叫“三湘四水”? 湖南省的地理位置 湖南省,位于中国中部,长江中游地区,因大部分区域处于洞庭湖以南而得名。它是一个广袤而多样化的省份,总面积达21.18万平方公里,...
炖羊肉汤经典做法,汤汁香醇浓白 俗话说得好,“秋天到,喝羊汤”。秋天寒冷干燥,人体虚弱,易感风寒。这时候来一碗滋补营养的羊肉汤,既能驱寒取暖,还能强壮身体,增强免疫...
0-6岁幼儿简笔画大全最简单带颜色,萌萌哒的彩色儿童简笔画 画画是宝宝必须从小接触的一项兴趣爱好,孩子在六岁之前,最好让他们开始学会涂鸦,学会使用各种颜色的彩笔发挥自己...
【标题】:邓超导演梦:从巅峰跌落,再寻绝地反击的荆棘之路 【梦想不息,艺术探索的无限可能】 在娱乐圈这片浩瀚的星海中,邓超的故事如同一颗璀璨的流星,划过天际,留下深...
一口可以吞食人类的巨型淡水鱼——湄公河巨魾 根据吉尼斯世界纪录,目前世界上最大的淡水鱼种就是湄公河巨魾(pī),巨魾是一种灰熊般巨大的鲶鱼,巨魾,俗名面瓜鱼,在水族市...
数码产品全家桶是大冤种?聊聊全家桶的优劣,附购买建议 现在618年中大促遇上了高考季,很多平时可能高高在上的商品迎来了大跳水,为此不少用户就想趁这个时候一口气入手一套数...
全球最幸福国家瓦努阿图,正在大力招中国移民 谈到全球最幸福国家,那不得不提到近年来蝉联全球最幸福国家TOP5的瓦努阿图。 瓦努阿图是世界上经济最不发达的国家之一,尽管202...
教书育人的末代“王爷”——溥任 2015年,中国最后一位“王爷”金友之先生辞世,他是摄政王载灃的亲生儿子、末代皇帝溥仪同父异母的亲弟弟。在溥傑先生(溥儀的胞弟)和金志坚...